반응형
p.522
예제 11.6 액정의 성질
▶ 풀기전에
액정(液晶, Liquid Crystal)이란?
액체와 고체의 성질을 함께 가지고 있는 물질로, 고체의 결정이 갖는 규칙성과 액체의 성질인 유동성을 모두 지닌 물질이라는 뜻에서 액체결정, 줄여서 액정이라고 부릅니다.
출처
[디스플레이 톺아보기] ⑮ LCD의 원리와 구조 Part.1
오늘은 다양한 영역에서 활용되고 있는 평판 디스플레이의 대표 제품. LCD의 기본 작동 원리에 대해 살펴보겠습니다.LCD(Liquid Crystal Display, 액정표시장치)는 '액정'을 핵심 소재로 한 평판 디스플
news.samsungdisplay.com
액체와 고체 그 어딘가에 있는 상태이다 ㅎㅎ
▶ Q. 문제
다음중 액정의 성질을 가장 잘 나타내는 물질은?



▶ A. 풀이
액정상의 부분적인 질서를 가지고있는 분자들의 형태를 생각하면서 풀어보자

(i)은 이중 결합이나 삼중 결합이 없어 단단하기보다는 잘 구부리질 것이므로 액정이 아닐 것이다.
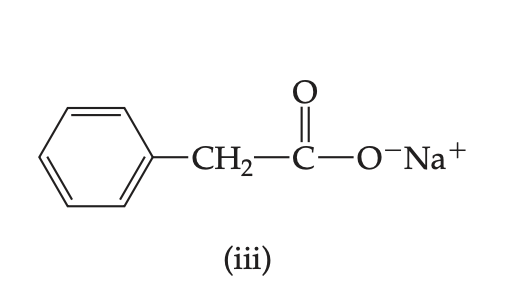
(iii)은 이온성이다. 이온성 물질은 일반적으로 녹는 점이 높기 때문에, 이 물질이 액정일 것같지는 않다.
(ii)는
액정상의 특징인
1. 특징적인 긴축을 가지고 있고,
2. 이분자는 막대 모양을 가지며,
3. 이중 결합과 벤젠 고리가 견고함을 주고,
4. 극성인 COOCH기는 쌍극자 모멘트를 가진다.
이러면 액정을 만들수 있다.
일반화학수준에서는 분자형태를 보고 액정인지 파악할 수 있는 정도이면 된다.
▶ 추가문제
추후에 추가예정
'일반화학실험 > [11장 액체와 분자간 힘]' 카테고리의 다른 글
| 상평형도를 보고 최대한 많은 정보를 뽑아내자! (예제 11.5) (1) | 2023.10.12 |
|---|---|
| 증기압력곡선을 이해해보자 (예제 11.4) (0) | 2023.10.11 |
| H2O의 온도와 상변화 ΔH(엔탈피)를 계산해보자 (예제 11.3) (2) | 2023.10.10 |
| 끓는점 비교 by 분자간의 힘 (예제 11.2) (1) | 2023.10.09 |
| '수소결합'에 대해 알아보자 (예제 11.1) (1) | 2023.10.09 |